Як визначити швидкість електрона?

  1. Рішення. Як фізичне системи розглянемо електрон. Якщо знехтувати взаємодією електрона з гравітаційним,...

Рішення.

Як фізичне системи розглянемо електрон. Якщо знехтувати взаємодією електрона з гравітаційним, електричним і магнітними полями Землі, а також припустити, що він рухається у вакуумі, то розгін відбувається тільки під дією прискорюючого поля.

Тому рух електрона в інерціальній системі відліку можна описати другим законом Ньютона і кінематичними законами равноускоренного прямолінійного руху.
Як тіла відліку візьмемо лабораторію, вісь OX спрямуємо в сторону руху (тобто проти поля), вибравши початок координат в точці, з якої електрон почав рухатися. Якщо спроектувати вектори, що зображують відповідні величини, на вісь OX, з урахуванням того, що v 0 = 0, отримаємо: ma = eE, x = at2 / 2, v = at. Звідки шукана швидкість v = eEt / m.

Підставивши числові значення заряду і маси електрона, а також значення E і t, отримаємо v = 5,3 • 108 м / с, що більша за швидкість світла у вакуумі.


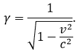
Так як ні в якій системі відліку тіло не може рухатися зі швидкістю перевищує швидкість світла у вакуумі, то отримане значення швидкості не може бути відповіддю завдання. Причиною помилки стало неявно зроблене припущення про те, що рух електрона може бути описано законами класичної механіки. Так як ні в якій системі відліку тіло не може рухатися зі швидкістю перевищує швидкість світла у вакуумі, то отримане значення швидкості не може бути відповіддю завдання Зміна імпульсу тіла дорівнює імпульсу сили, що діє на нього, тобто D p = FD t, не тільки в класичній, але і в релятивістській механіці. Причому піт релятивістських швидкостях руху імпульс тіла p = g mv. З огляду на це, стосовно ситуації, описаної в задачі, теорему про зміну імпульсу можна записати у вигляді: D (g mv) = eE D t. Беремо до уваги, що D v = v - v 0 = v, D t = t - t 0 = t (тобто в момент часу t 0 = 0 швидкість v 0 = 0). Звідки знаходимо модуль шуканої швидкості електрона v.

Відповідь: v = 2,6 • 108 м / с.

Джерело: Фізика. Повний курс підготовки до ЦТ. Під загальною редакцією проф. В.А. Яковенко.